지난 10월 25일 진행된 의협 대의원회 임시대의원총회 장면. 이날 비상대책위원회 설치 안건은 부결됐다.
[메디게이트뉴스] 대한의사협회 집행부와 대의원회 운영위원회 그리고 대의원, 회원 간에는 정보량의 차이 혹은 처한 입장의 차이로 인해 사안에 대한 의식차가 존재합니다. 여기서 여러 가지 갈등의 소지가 있고 때로는 극단적 사건도 발생하곤 합니다. 비교적 오랜 세월(7선) 대의원을 역임한 입장에서 서로간의 이해를 넓히는 입장에서 몇 가지 조언하는 마음으로 이 글을 씁니다.
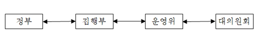
대략 위와 같은 구도라고 본다면 정부와 가장 긴밀한 대화를 하는 측은 의협 집행부입니다. 대의원회 운영위는 집행부로부터 대략의 정보를 받게 되고 대의원은 단체대화방이나 각 지역대의원회를 통해 일정량의 정보를 수집하고 있다고 보면 됩니다. 여기서 문제가 발생할 수 있는데, 정부와 긴밀한 접촉을 하는 집행부의 인식과 또 집행부와 자주 접촉을 하는 운영위원들의 인식과 평 대의원의 인식에는 상당한 차이를 보일 수도 있는 개연성이 존재합니다.
의협 대의원회는 운영위원회 중심으로 운영하는데, 매달 집행부 임원진과 회합을 가질 기회가 있으므로 정보량이 조금 있는 편입니다. 과거에는 회장을 마친 의장들의 친목회 수준의 모임이었지만 2010년 전후로 대의원회 운영위원회는 그 역량이 상당부분 강화돼 집행부와 소통을 가장 많이 하는 조직이 됐고 적극적으로 집행부와 교감도 하지만 대립도 하는 조직으로 성장했습니다.
조직 간의 상호주의 원리에 따라 정부와 집행부가 가진 교감과 집행부와 대의원회의 교감과는 차이가 있을 것이며, 이해를 구할 수 있기도 하지만 때때로 상당한 불협화음을 낳기도 합니다. 이는 어쩔 수 없는 일일 것입니다.
따라서 의협 집행부는 최대한의 정보를 대의원회에 전달해 이해를 구하는 작업이 있어야 하는데, 이 부분이 부족한 편으로 평가합니다. 이 부족함 때문에 집행부 초반기에는 대개 허니문을 가지다가 다음해에는 조금 멀어지고 그 다음해에는 상당히 멀어져서 임시총회가 열리기도 하고 탄핵발의가 되기도 하고 종국에는 파국이 되기도 합니다.
그러므로 집행부는 대의원회에 최대한 많은 정보를 주어야 하고 대의원회는 최대한 집행부의 입장을 이해해야 하는데, 문제는 우리 조직이 아직 열린 소통은 부족한 상태입니다. 오프더레코드는 있어야 하지만 최소화돼야 합니다. 집행부와 대의원회는 권위의식을 내려놓고 자주 식사도 하고 간담회도 해서 오해의 폭을 줄여나가야 합니다. 이 간단한 부분이 잘 되지 않음으로써 결국은 서로 다투기도 하는 것입니다.
이 부분이 의사사회를 포함한 대한민국의 모든 조직이 가지고 있는 근본적 문제라고 감히 지적해 봅니다.
의사사회라서 정신역량이 높아 서로 소통하는 기술과 나 전달법을 잘 행할 수 있을 것 같지만 제가 보기엔 그렇지 않습니다. 역대 집행부 인사들 중에는 총회 이틀만 넘기면 된다는 안일한 생각을 가진 사람도 있었고, 대의원회 운영위원 중에는 그저 집행부 편을 들기 위해 현실과는 다른 편향된 말도 안 되는 분과회의 사회를 보는 이들도 있었습니다.
서로 힘을 합쳐서 큰 힘을 내는 조직이 되려면 씨줄과 날줄이 튼튼해야 하며 그 연결부는 신뢰라고 하는 접착제가 필요한 것입니다. 신뢰를 하는 요건은 정직입니다. 상호간에 정직으로 교감하면서 오프더레코드가 잘 지켜지는 조직이 돼야 합니다.
예를 들면 일반회원들은 전 회장과 전공의 비대위원장이나 기존 비대위원과의 불협화음을 이해하지 못합니다. 은유적 SNS로는 그 과정을 절대 정확히 이해하지 못합니다. 정확한 사실에 근거한 정보가 없기 때문입니다. 사실 인식차이에 근거한 내부투쟁이 있었을 것이라는 정도일 것입니다. 그러면서 결국 전 회장은 여러 문제에 봉착해 탄핵이라는 절차를 맞게 됐고 이는 협회의 또 하나의 불행한 사건이 되고 말았습니다.
소통의 기술과 나 전달법을 우리가 행할 수 있는지는 깊이 반성해야 할 부분입니다. 힘으로 해결하려고 하는 조직이 돼서는 목표에 쉽게 다가갈 수 없습니다. '줄탁동시(啐啄同時)' 즉 약속된 플레이를 할 수 없기 때문입니다.
숭산행원스님은 미국에서 선센터를 운영하면서 마약중독자들을 찾아다니셨는데, 제자들이 “스님께서 왜 먼저 그런 이들에게 찾아가십니까?“라고 물었더니 스님은 ”내가 먼저 찾아가지 않으면 그들이 먼저 찾아오지 않기 때문"이라 답하셨다고 합니다.